设为首页
收藏本站
商务合作联系微信/QQ:771081939
金股汇论坛
Portal
喊单
Group
广播
Follow
视频
动态
Space
新闻
报价
量化交易
排行榜
Ranklist
登录
注册审核通过,发送账户名称给版主,请加版主微信:1044631611
金股汇论坛(Y2论坛)
»
导航
›
外汇走势分析,外汇行情咨询与讨论
›
黄金外汇论坛
›
美元(USD)何去何从??
1
2
3
4
5
6
7
/ 7 页
下一页
返回列表
发布新帖
美元(USD)何去何从??
电梯直达
评论
62
silowen
楼主
Lv.2
发表于 2005-4-5 19:40
|
查看全部
:)
火爆!鲨版来了
回复
点赞
使用道具
举报
显身卡
silowen
楼主
Lv.2
发表于 2005-4-6 20:09
|
查看全部
:)
回复
点赞
使用道具
举报
显身卡
silowen
楼主
Lv.2
发表于 2005-4-7 19:33
|
查看全部
:)
回复
点赞
使用道具
举报
显身卡
silowen
楼主
Lv.2
发表于 2005-4-10 20:06
|
查看全部
050410
回复
点赞
使用道具
举报
显身卡
silowen
楼主
Lv.2
发表于 2005-4-10 20:11
|
查看全部
:)
日线一旦下破关键支撑,短期头部既能确认。
舞动的交易
回复
点赞
使用道具
举报
显身卡
silowen
楼主
Lv.2
发表于 2005-4-10 21:05
|
查看全部
050410
回复
点赞
使用道具
举报
显身卡
silowen
楼主
Lv.2
发表于 2005-4-11 17:52
|
查看全部
:)
短期暂时以回调的态度捕捉趋势(美元指数84.3突破),短期回调态势确认,空头短期趋势保护价格(84.85),因为还存在多头反扑的可能,该位置如上穿多头有再次反扑出高点的欲望。
[
本贴由 silowen 在 2005-4-11 18:17 最后修改
]
舞动的交易
回复
点赞
使用道具
举报
显身卡
silowen
楼主
Lv.2
发表于 2005-4-14 20:08
|
查看全部
:)
美元指数高点压力位:85.15。后市出高点潜在位置:85.97。
舞动的交易
回复
点赞
使用道具
举报
显身卡
silowen
楼主
Lv.2
发表于 2005-4-14 22:48
|
查看全部
:)
注意下周是时间窗口。
舞动的交易
回复
点赞
使用道具
举报
显身卡
silowen
楼主
Lv.2
发表于 2005-4-17 21:02
|
查看全部
:)
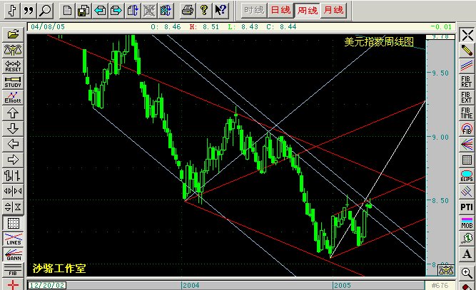
有可能形成终结扩散三角形头部。关键支撑:84.45,后市还有出高点的能力。
[
本贴由 silowen 在 2005-4-17 21:05 最后修改
]
舞动的交易
回复
点赞
使用道具
举报
显身卡
1
2
3
4
5
6
7
/ 7 页
下一页
返回列表
发布新帖
回复
高级模式
B
Color
Image
Link
Quote
Code
Smilies
您需要登录后才可以回帖
登录
|
注册审核通过,发送账户名称给版主,请加版主微信:1044631611
本版积分规则
发表回复
回帖并转播
回帖后跳转到最后一页
silowen
楼主
+ 关注
发消息
短------------炒
2007-11-17
炒-------------------黄金
2007-11-17
12点搭乘欧元号列车
2005-06-21
9点探问欧元去向何方?
2005-06-20
美元指数还有一个小时面临变盘
2005-06-17
查看更多
图文热点
【K2科技EA】牛熊通吃:震荡不慌,单边不怕
359 人气
#黄金外汇论坛
【顺势加仓对冲EA】双核驱动:顺势加仓引爆
496 人气
#黄金外汇论坛
2026.3.9 图文交易计划:加日突破压制 多头
524 人气
#黄金外汇论坛
网纸「TL282.cc」腾龙公司游戏会员账号注册
872 人气
#美股论坛
上一主题
下一主题
浏览过的版块
sharkeater 专栏
黄金 白银
现场直播室
关灯
在本版发帖
扫一扫添加微信客服
QQ客服
返回顶部
快速回复
返回顶部
返回列表