1234下一页
返回列表 发布新帖

现价0.9950中线建仓多美加(有图有真相)

7638 34
欧阳元元 发表于 2011-1-27 22:39 | 查看全部 阅读模式
https://www.y2cn.com
本帖最后由 欧阳元元 于 2011-1-27 22:40 编辑

美加20104~20105.jpg

上图蓝色区域为美加于2010年4月份~5月份的走势



美加201012~2011130.jpg


此图蓝色区域为美加2010年12月份~2011年1月份的走势

多单已建仓,止损暂定100点开外,

偶坚信,历史会重演,不论简单复杂与否~~~~~~
buy or sell,It is a problem...............

评论34

欧阳元元楼主Lv.10 发表于 2011-1-27 22:50 | 查看全部
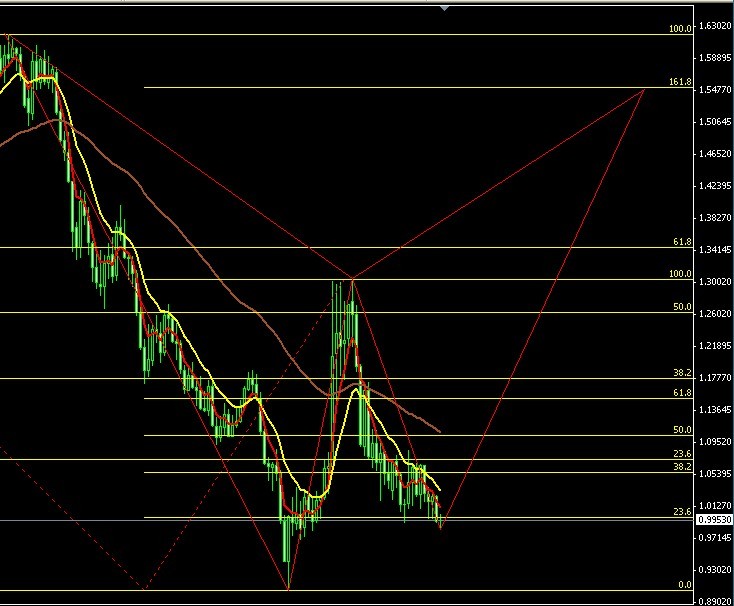
美加月线蝴蝶.jpg

再意淫一张美加月线手绘的蝴蝶
buy or sell,It is a problem...............
回复 点赞

使用道具 举报

maiLv.72 发表于 2011-1-27 23:09 | 查看全部
我却担心这几天美元又出坏消息!   
回复 点赞

使用道具 举报

欧阳元元楼主Lv.10 发表于 2011-1-27 23:13 | 查看全部
buy or sell,It is a problem...............
回复 点赞

使用道具 举报

MoneyKillerLv.3 发表于 2011-1-27 23:19 | 查看全部
:
回复 点赞

使用道具 举报

决胜千里之外Lv.3 发表于 2011-1-27 23:31 | 查看全部
套套好过年
回复 点赞

使用道具 举报

maiLv.72 发表于 2011-1-27 23:37 | 查看全部
其实加元己无什么理由还升了,
但等于A股为何世界双笫一?
回复 点赞

使用道具 举报

欧阳元元楼主Lv.10 发表于 2011-1-28 00:49 | 查看全部
做多需要理由么?做空需要理由么?

找出历史中相似的图形,跟进就是了,

未来到底会如何,谁又能知道?

资金管理和仓位控制才是王道~~~~
buy or sell,It is a problem...............
回复 点赞

使用道具 举报

朱锦春Lv.8 发表于 2011-1-28 01:10 | 查看全部
刚才多了一单美加,
楼主,您这一单有目标吗?
回复 点赞

使用道具 举报

欧阳元元楼主Lv.10 发表于 2011-1-28 01:13 | 查看全部
刚才多了一单美加,
楼主,您这一单有目标吗?
朱锦春 发表于 2011-1-28 01:10



    止损最小100点开外,目标暂定1.04之上~~
buy or sell,It is a problem...............
回复 点赞

使用道具 举报

回复

本版积分规则

关灯 在本版发帖
扫一扫添加微信客服
QQ客服返回顶部
快速回复 返回顶部 返回列表