设为首页
收藏本站
商务合作联系微信/QQ:771081939
金股汇论坛
Portal
喊单
Group
广播
Follow
视频
动态
Space
新闻
报价
量化交易
排行榜
Ranklist
登录
注册审核通过,发送账户名称给版主,请加版主微信:1044631611
金股汇论坛(Y2论坛)
»
导航
›
外汇走势分析,外汇行情咨询与讨论
›
黄金外汇论坛
›
一丁喊单(0916)
返回列表
发布新帖
一丁喊单(0916)
1904
4
yangding
Lv.2
发表于 2010-9-16 09:07
|
查看全部
阅读模式
0916,星期四
EUR/usd: 1.3060空,止盈50-140点
GBP/usd: 1.5690空,止盈60-180点
usd/CHF: 0.9930多,止盈50点以上,或持仓至周末
止损均为50点
评分
1
查看全部评分
大路老夏
火爆!鲨版来了
回复
转播
使用道具
举报
提升卡
置顶卡
沉默卡
喧嚣卡
变色卡
显身卡
电梯直达
评论
4
顺势而为Ivan
Lv.3
发表于 2010-9-16 09:10
|
查看全部
我发现我计划,基本和你是反的,哈哈
逆势下单
抄底摸顶
回复
点赞
使用道具
举报
显身卡
大路老夏
Lv.64
发表于 2010-9-16 09:34
|
查看全部
回复
点赞
使用道具
举报
显身卡
yangding
楼主
Lv.2
发表于 2010-9-16 10:48
|
查看全部
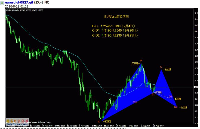
马后炮:8.27日所做欧元图
回复
点赞
使用道具
举报
显身卡
yangding
楼主
Lv.2
发表于 2010-9-16 10:50
|
查看全部
非常马后炮:9.2对8.27欧元图的修正
回复
点赞
使用道具
举报
显身卡
返回列表
发布新帖
回复
高级模式
B
Color
Image
Link
Quote
Code
Smilies
您需要登录后才可以回帖
登录
|
注册审核通过,发送账户名称给版主,请加版主微信:1044631611
本版积分规则
发表回复
回帖并转播
回帖后跳转到最后一页
yangding
Lv.2 江湖新秀
43
主题
18
回帖
82
积分
+ 关注
发消息
炒汇如同驾车:你只需做到红灯行,绿灯行(汇市菜鸟请进,老鸟莫入,不欢迎拍砖)
2015-03-23
既然非农数据前进场是在赌博,那数据后顺势入场结果会怎样呢?
2015-03-08
均线巧用
2015-02-15
裸k做单:空美日
2014-09-28
一丁喊单(1203)
2010-12-03
查看更多
图文热点
微【zh qiao y2266】问鼎公司会员账号红蓝
220 人气
#黄金外汇论坛
微【zh qiao y2266】官网亚星会员账号红蓝
264 人气
#黄金外汇论坛
微【zh qiao y2266】金沙娱乐会员账号红蓝
265 人气
#黄金外汇论坛
微【zh qiao y2266】龙源国际会员账号红蓝
253 人气
#黄金外汇论坛
上一主题
下一主题
浏览过的版块
黄金 白银
现场直播室
关灯
在本版发帖
扫一扫添加微信客服
QQ客服
返回顶部
快速回复
返回顶部
返回列表