设为首页
收藏本站
商务合作联系微信/QQ:771081939
金股汇论坛
Portal
喊单
Group
广播
Follow
视频
动态
Space
新闻
报价
量化交易
排行榜
Ranklist
登录
注册审核通过,发送账户名称给版主,请加版主微信:1044631611
金股汇论坛(Y2论坛)
»
导航
›
外汇走势分析,外汇行情咨询与讨论
›
现场直播室
›
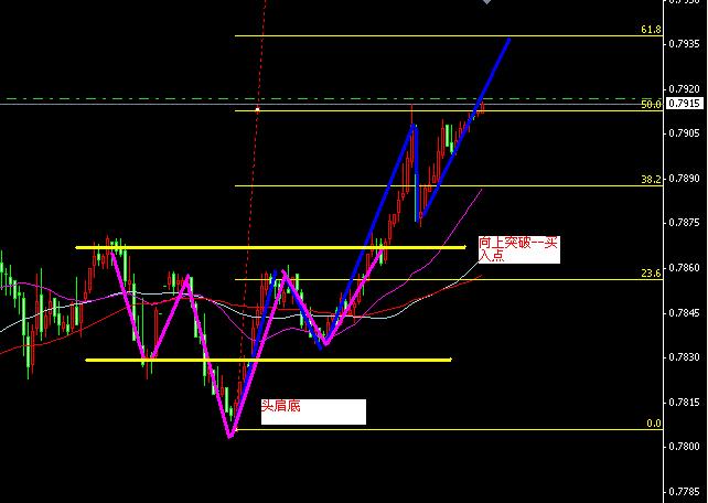
澳元将持续走强,今日有望突破0.7935。
返回列表
发布新帖
澳元将持续走强,今日有望突破0.7935。
3909
0
boohoo
Lv.1
发表于 2006-12-29 14:48
|
查看全部
阅读模式
澳元将持续走强,今日有望突破0.7935。
澳元走势
火爆!鲨版来了
回复
转播
使用道具
举报
提升卡
置顶卡
沉默卡
喧嚣卡
变色卡
显身卡
返回列表
发布新帖
回复
高级模式
B
Color
Image
Link
Quote
Code
Smilies
您需要登录后才可以回帖
登录
|
注册审核通过,发送账户名称给版主,请加版主微信:1044631611
本版积分规则
发表回复
回帖并转播
回帖后跳转到最后一页
boohoo
Lv.1 初学乍练
0
主题
3
回帖
3
积分
+ 关注
发消息
1.5日后走势分析(图)
2007-01-05
澳元将持续走强,今日有望突破0.7935。
2006-12-29
图文热点
金沙app下载网站-网页版/登录入口tl10927.c
34 人气
#黄金外汇论坛
【172—0697—1101】华纳万宝路上下分联系
102 人气
#A股论坛
【172—0697—1101】华纳万宝路注册会员流
148 人气
#A股论坛
【172—0697—1101】华纳万宝路注册会员流
101 人气
#A股论坛
上一主题
下一主题
浏览过的版块
黄金 白银
sharkeater 专栏
黄金外汇论坛
投资理财---综合区
关灯
在本版发帖
扫一扫添加微信客服
QQ客服
返回顶部
快速回复
返回顶部
返回列表