返回列表 发布新帖

6月25日的汇评

评论109

willieloke楼主Lv.65 发表于 2009-6-25 16:48 | 查看全部
https://www.y2cn.com
李骏:美元并无大碍
2009年06月25日 13:45  李骏查看评论

  今日凌晨美联储会议声明中没有继续扩大购买国债的规模,令美元获得支持。截止发稿时,美元指数依然保持在80点整数关之上运行。

  今日凌晨美联储表示:全票通过保持0-0.25%利率不变,同时重申利率将在较长时间内维持低位,购买美国债券,机构债券的时机和规模都没有改变,经济萎缩步伐正在放缓,未来经济将逐步增长,将动用所有利用的工具,促进经济增长和确保物价稳定。

  上述声明总体还是偏向于有利美元。

  昨日下午国际经济合作组织表示:上调全球经济增长预期,明年全球经济将实现增长。美元疲软不是担忧的理由,美国经济有望在今年下半年触底,复苏的动力取决于稳定的金融体系的成效。这是国际经济合作组织2007年6月份以来首次上调经济增长预期。

  昨晚有消息说,俄罗斯央行在6月份买入16亿美元。

  上述消息也支持了昨日美元指数盘中一度最高反弹在80.74点。

  笔者认为:如果短线美元指数不跌破80点整数关,美元仍有继续向上反弹的可能性。预计近期美元指数上档在81-82点区间有一定的阻力。

  但是,一旦结束此轮反弹,美元还是有继续回调的可能性。

  昨日至今日,日元出现了先涨后跌的走势。昨日日元盘中最高为95.03,而今日上午,日元盘中最低跌至96.24。截止发稿时,日元波动在96整数关上下。

  昨日下午日本央行行长白川方明表示:日本经济显露出更明晰的企稳的迹象。该讲话还是对日元较为有利。

  不过,昨日下午国际经济合作组织表示:日本经济受制于坚挺的汇率,日本央行可能维持0.1%利率水准至2010年底。

  同时,昨日瑞士央行干预瑞士法郎,也在一定程上让市场担忧日元走高后日本央行可能也会进行类似干预。

  上述消息导致了日元回调。

  笔者近期在日元上涨时一直发表较为谨慎的言论,从目前情况看,日元要突破95整数关确实有较大的难度。

  昨日欧元盘中最高上涨至1.4137后,一度跌破1.39整数关。今日上午欧元略获得支持。截止发稿时,欧元运行在1.3963附近。

  昨日下午国际经济合作组织表示:欧洲央行可能会降息至零水平。

  昨日下午有消息说,欧洲央行可能宣布向银行注资4422.4亿欧元。此次注资规模为欧洲央行有史以来最大的。

  上述消息还是对短线欧元较为不利。

  不过,昨日下午欧元区公布的4月份经常帐赤字为59亿欧元,低于前值70亿欧元赤字。可能给欧元带来一些支持。

  预计近期欧元下档在1.37-1.38区间有一定的支持。笔者认为:只要近期欧元不有效跌破1.37整数关,则未来欧元还是有重新站上1.40整数关或者更高价格出现的可能性。

  昨日至今日,英镑同样也出现了冲高回落的走势。昨日英镑盘中最高一度达到1.66,随后出现一定的下跌,最低跌至1.6368。今日上午到目前,英镑略有反弹,截止发稿时,英镑运行在1.6451附近。

  昨日下午有调查报告显示:英国6月份通胀预期上升至2.0%。

  昨日下午法国巴黎银行表示:如果英镑突破1.6660前期高点,未来目标位在1.70附近。

  上述消息支持了英镑一度突破1.66整数关。

  但是昨日下午欧盟警告英国财政预算赤字过高。

  昨日下午英国央行行长金恩表示:英镑走软,让英国更具有竞争力。

  昨晚英国央行官员巴克表示:油价上涨和英镑升值不利于英国经济。

  上述消息又限制了英镑上涨。

  从目前情况看,近期英镑上档在1.65-1.66区间确实有较大的阻力。笔者认为:未来英镑只有突破这一区间才能扩大涨幅,否则,英镑还是有回调的压力。

  从技术上看,近期英镑下档在1.62-1.63区间有一定的支持。当然笔者对未来英镑中长期趋势还是持较为乐观的态度。

  今日关注主要经济数据和事件:

  关注:今日下午欧元区公布的4月份工业订单,美国今年第1季度GDP最终值。

  主要货币操作建议:

  有关美元汇率:

  1、如果美元指数反弹在81-82点区间,请继续逢高卖出。

  2、前期已经卖出美元的投资者继续保持观望,等待未来买入机会。

  3、如果美元指数有效突破83.70点,则可以再追高买入。

  4、如果美元指数跌至78-79点区间逢低买入。

  有关欧元汇率:

  1、如果欧元跌至1.38-1.39区间继续逢低买入。

  2、笔者还是期待欧元下跌后还是有反弹的可能性。

  3、如果近期欧元有效跌破1.37整数关,则止损买入欧元。

  4、一般近期可以在欧元反弹在1.41-1.42区间逢高卖出为主。
论坛的一份子,献力由我开始。
回复 点赞

使用道具 举报

willieloke楼主Lv.65 发表于 2009-6-25 16:49 | 查看全部
Licher:各主要币种交易策略
2009年06月25日 14:04 Licher查看评论

  FED会议维持了原有的息口,但是他们重点强调经济已经出现了新的稳定迹象,虽然还只是U底。虽然亚太地区有数据支持这个观点,可惜目前的美国5月份预售屋销量意外下降,表明了他们的这个结论尚为时过早。

  FED现在非常急于把手头的3000亿国债卖出去,不过有鉴于中国作为目前最大的持有人已经开始有了减持的迹象,我们不认为FED能够很快完成这个艰巨的任务。

  最近国际市场上关于原材料、商品期货等纠纷此起彼伏。中国政府在在国际铁矿石采购价格谈判久拖未决的时候,突然宣布了本溪铁矿储量变化的消息,很可能给予AUD以更加深入的打击。

  其实在昨日的行情中,最为精彩的部分就是瑞士央行被迫入场干预。虽然他们还不承认这个行为,但是数据已经表明了这个动向。

  作为个人而言,笔者非常喜欢中共中央政策研究室经济局局长李连仲的观点,但是我们也注意到实体资产的有限性。

  尘归尘土归土,现在本周重要数据只有周五的初请失业金数据了。

  中期观点:观望。

  短期观点:谨慎多美。

  今日重要变数:

  无

  今日重要数据

  20:30 美国上周初请失业金人数

  EURUSD 目前下行倾向更多,我们谨慎入场。

  昨日推荐:

  观望。

  今日推荐:

  逢高空EURUSD。

  入场价位:4120,止损位置:4190,目标价位:暂无。

  GBPUSD在FED会议后的确曾经有机会入场做空。

  昨日推荐:

  观望FED会议精神后,再考虑在6500~6550一线进行高空。

  点评:

  出现了合适的机会。

  今日推荐:

  观望。

  USDCAD虽然有冲底,但是在FED定息后持续攀高。

  昨日推荐:

  逢低多USDCAD。

  入场价位:1310,止损位置:1230,目标价位:暂无。

  点评:

  没有机会入场。

  今日推荐:

  观望。

  AUDUSD虽然有一个较好的冲高,但是还没有达到我们看好的位置。

  昨日推荐:

  继续高空AUDUSD。

  入场价位:8100,止损位置:8170,目标价位:暂无。

  点评:

  日内高点仅仅为8055,还没有满足我们的入场价位要求。

  今日推荐:

  继续高空AUDUSD。

  入场价位:8050,止损位置:8130,目标价位:暂无。

  USDCHF受到了央行干预影响,估计有很多不止损的人应该已经爆仓了。

  今日推荐:

  逢低多USDCHF。

  入场价位:0800,止损位置:0720,目标价位:暂无。

  USDJPY反复依然,我们先观望一下。

  昨日推荐:

  观望。

  今日推荐:

  观望。

  抓总:

  昨日推荐:

  逢低多USDCAD。

  入场价位:1310,止损位置:1230,目标价位:暂无。

  点评:

  没有机会入场。

  今日推荐:

  继续高空AUDUSD。

  入场价位:8050,止损位置:8130,目标价位:暂无。
论坛的一份子,献力由我开始。
回复 点赞

使用道具 举报

willieloke楼主Lv.65 发表于 2009-6-25 16:49 | 查看全部
吉祥:欧元大涨大跌 黄金大幅反弹
2009年06月25日 14:16  吉祥查看评论

  基本面上,美联储于北京时间周四凌晨公布的议息会议声明,会议公布前,外汇市场波动较大。市场担忧美联储的会后声明可能更一步加大债券购买规模,引起美元指数大幅波动,此前美元出现大幅下跌,昨日在会议声明公布前夕,美元指数基本消息化之前市场的不利因素,于昨日欧洲盘开始触及时段低点开始反弹,并且在美联储会后声明公布后展开比较强劲反弹,随着美元波动,黄金价格昨日出现先涨后跌,收盘出现上涨。美联储昨日公布的会后声明显示,美联储继续维持0-0.25%基准利率不变,并且明确表现将可能在较长时间内维持这一基准利率不变,维持0.5%贴现窗口利率不变,重申了此前公布的债券购买计划不变。昨日美联储公布的主要内容与市场大多数人士预期的基本一致,并且并未扩大债券购买计划。昨日美国公布的经济数据喜忧参半,5月新屋销售数据月率下降0.6%,差于预期;5月耐用消费品订单月率上升1.8%,好于预期;表现不一的经济数据也加剧了昨日市场波动。

  欧元/美元:短线有望再次考验下方1.39附近的支撑,若能守稳该位之上,则短线将有反弹机会,上方的目标看向1.40,1.4060一线。

  美元/瑞郎:处于1.10附近运行,若继续于该位之下运行,则短线1.06/1.10的震荡区间未变,投资者仍可采用区间操作的思路。

  英镑/美元:有下行动能,关注1.6360附近支撑的持稳情况,跌破,则为其进一步下探1.6270一线打开空间,上方阻力位于1.66附近。

  黄金:昨天国际现货金最高触及941.15美元/盎司,最低下探至922.00美元/盎司,收报930.95美元/盎司,周二纽约时段收盘报925.80美元/盎司,涨幅为0.56%。技术面格局分析:日K线图显示,现货金收于上影线较长的小阳线。有分析师指出,现货金周三继续上扬,并连续收复5日和100日两道均线。从技术面上来看,短期均线仍呈空头排列,自990以来的下行趋势线给予金价压制。随机指标反弹至20附近,暗示短线在910附近支撑较为强劲;但MACD仍发出看跌的信号。投资建议:黄金价格昨天冲高回落,今天建议激进投资者在938附近短线卖出,穿942美圆风险控制,短期目标看925 附近。支持:925 913 阻力 941 950
论坛的一份子,献力由我开始。
回复 点赞

使用道具 举报

willieloke楼主Lv.65 发表于 2009-6-25 16:53 | 查看全部
Licher:各主要币种交易策略
2009年06月25日 14:04 Licher查看评论

  FED会议维持了原有的息口,但是他们重点强调经济已经出现了新的稳定迹象,虽然还只是U底。虽然亚太地区有数据支持这个观点,可惜目前的美国5月份预售屋销量意外下降,表明了他们的这个结论尚为时过早。

  FED现在非常急于把手头的3000亿国债卖出去,不过有鉴于中国作为目前最大的持有人已经开始有了减持的迹象,我们不认为FED能够很快完成这个艰巨的任务。

  最近国际市场上关于原材料、商品期货等纠纷此起彼伏。中国政府在在国际铁矿石采购价格谈判久拖未决的时候,突然宣布了本溪铁矿储量变化的消息,很可能给予AUD以更加深入的打击。

  其实在昨日的行情中,最为精彩的部分就是瑞士央行被迫入场干预。虽然他们还不承认这个行为,但是数据已经表明了这个动向。

  作为个人而言,笔者非常喜欢中央政策研究室经济局局长李连仲的观点,但是我们也注意到实体资产的有限性。

  尘归尘土归土,现在本周重要数据只有周五的初请失业金数据了。

  中期观点:观望。

  短期观点:谨慎多美。

  今日重要变数:

  无

  今日重要数据

  20:30 美国上周初请失业金人数

  EURUSD 目前下行倾向更多,我们谨慎入场。

  昨日推荐:

  观望。

  今日推荐:

  逢高空EURUSD。

  入场价位:4120,止损位置:4190,目标价位:暂无。

  GBPUSD在FED会议后的确曾经有机会入场做空。

  昨日推荐:

  观望FED会议精神后,再考虑在6500~6550一线进行高空。

  点评:

  出现了合适的机会。

  今日推荐:

  观望。

  USDCAD虽然有冲底,但是在FED定息后持续攀高。

  昨日推荐:

  逢低多USDCAD。

  入场价位:1310,止损位置:1230,目标价位:暂无。

  点评:

  没有机会入场。

  今日推荐:

  观望。

  AUDUSD虽然有一个较好的冲高,但是还没有达到我们看好的位置。

  昨日推荐:

  继续高空AUDUSD。

  入场价位:8100,止损位置:8170,目标价位:暂无。

  点评:

  日内高点仅仅为8055,还没有满足我们的入场价位要求。

  今日推荐:

  继续高空AUDUSD。

  入场价位:8050,止损位置:8130,目标价位:暂无。

  USDCHF受到了央行干预影响,估计有很多不止损的人应该已经爆仓了。

  今日推荐:

  逢低多USDCHF。

  入场价位:0800,止损位置:0720,目标价位:暂无。

  USDJPY反复依然,我们先观望一下。

  昨日推荐:

  观望。

  今日推荐:

  观望。

  抓总:

  昨日推荐:

  逢低多USDCAD。

  入场价位:1310,止损位置:1230,目标价位:暂无。

  点评:

  没有机会入场。

  今日推荐:

  继续高空AUDUSD。

  入场价位:8050,止损位置:8130,目标价位:暂无。
论坛的一份子,献力由我开始。
回复 点赞

使用道具 举报

willieloke楼主Lv.65 发表于 2009-6-25 16:54 | 查看全部
杨文军:趋势未变 做多非美
2009年06月25日 14:19  杨文军查看评论

  今日凌晨,美联储决定维持利率,维持量化宽松规模。利率声明公布后,美元兑主要货币随后上涨,GBP/USD再一次回到了旗形整理区域。还记得周一说过,如果一切都没有改变,那么趋势也将不会有任何改变。我们知道,量化宽松必然会导致通货膨胀,货币从紧必然会导致经济萎缩;这也正是经济在繁荣与萧条之中不断循环的深层原因。在全球经济萎缩的客观条件下,要依靠货币政策去实现物价稳定前提下的经济持续增长,那基本是一种理想,只能接近,不可能达到。美联储将在今年秋天前购买总额3000亿美元的国债,而如果经济持续萎靡,美联储必然要加大回购规模以刺激国内经济。因此,美元贬值的大趋势丝毫没有发生变化。非美货币对依旧以逢低做多为主。

  目前GBP/USD从小时图来看,似乎是处于头肩顶的右肩部位;而从四小时图来看,又隐约处于头肩底的右肩。上可上,下可下;目前处于1.6470与1.6410的区间内,今日关注GBP/USD的突破方向。向上可做多,向下可短线放空。

  英镑小时图:

   wjun.jpg

  今日交易策略:

  1.如上破1.6470,待回头确认后进场做多,目标看向1.6600,如上破,再看向1.6730.

  2.如下破1.6410,在回头确认时进场做空,目标看向1.6230。

  3.在四小时图的150期均线处寻机做多。
论坛的一份子,献力由我开始。
回复 点赞

使用道具 举报

willieloke楼主Lv.65 发表于 2009-6-25 17:02 | 查看全部
赵臻:美联储会议重申维持较低利率
2009年06月25日 14:18  赵臻查看评论

  昨日美元上涨。经合组织周三呼吁欧洲央行降息至零,并预计09年欧元区经济活动将萎缩4.8%,这一定程度上令欧元承压下行。英国股市强劲反弹,改善了风险偏好,一度支持英镑/美元日内触及1.6600。但受美国新屋销售差于预期打压,美股冲高回落,令避险情绪升温,进而拖累汇价自高点持续滑落。

  美国周三公布的经济数据喜忧参半,耐用品订单好于预期,新屋销售差于预期。受新屋销售疲软拖累,美股周三冲高回落,这提高了风险厌恶情绪。

  美联储周三宣布维持联邦基金基准利率在0-0.25%不变,重申利率将在较长时间内维持于低位。美联储称,经济萎缩步伐正在放缓,购买美国国债,机构MBS和机构债的时机和规模都没有改变。这令原本预期美联储将加大债券购买力度的交易商希望落空,引发美元空头回补。

  今日需要关注的数据有欧元区4月工业订单,美国第一季度年化实际GDP和美国6月20日当周初请失业金人数,预计将会对汇价走势提供一定指引。

  欧元/美元(EUR/USD)
zq1.jpg
  从4小时图上看,价格在上涨趋势当中,RSI跌破50,若能打破则有可能继续上涨。操作上可以考虑逢低买入为主,止损可设在趋势线下方。

  英镑/美元(GBP/USD)
zq2.jpg
  从4小时图上看,价格在1.62-1.66之间震荡。RSI在50一线上方,有进一步上涨的可能。操作上建议逢低买入为主。

  澳元/美元(AUD/USD)
zq3.jpg
  从4小时图上看,价格依然在下降通道当中震荡整理。RSI受到50一线支撑有继续上涨的可能。建议操作上逢低买入。

  美元/日元(USD/JPY)
zq4.jpg
  从4小时图上看,价格震荡下跌趋势依然存在。RSI打破50一线,但价格并未大幅上涨。操作上建议继续逢高卖出。空头止损可以考虑在97.30一线上方。

  美元/瑞士法郎(USD/CHF)
zq5.jpg
  从4小时图上看,价格形成三角形假突破,RSI已经回到多头趋势当中。操作上建议逢低买入。

  美元/加元(USD/CAD)
zq6.jpg
  从4小时图上看,价格已然在上升通道当中,RSI在50一线多头趋势当中运动。操作上建议逢低买入。
论坛的一份子,献力由我开始。
回复 点赞

使用道具 举报

willieloke楼主Lv.65 发表于 2009-6-25 17:03 | 查看全部
敬松交易日志:看来欧元真走3-3-5结构了
2009年06月25日 14:26  敬松查看评论

  6月25日敬松交易日志:

  注1:此交易日志重在展示交易思路,而非指导,更不是分析预测。

  注2:此交易日志准备怎么做交易不意味着预测今天行情要这样走,而是如果这样走最有利于交易,若不按照交易规划走就不会交易。

  注3:此交易规划重在把握1h和4h的机会,强调顺方向和动能,依据严格的机会筛选制度,一般来说1个月的实际交易频率在8-12次。

  昨天的日志中重点提到欧元可能走3-3-5结构,当时只是作为一个当前风险的提示考虑,没想到昨晚真直接大幅下跌,而印证了3-3-5结构存在的现实性,这个做多的风险现在已经转变为只支持做空了。

  今天就欧元的3-3-5结构配一个图吧,让大家看得更清晰一些。

  我的交易思路也因昨天的走势发生大的转变,行情动能快速交替的时候总是如此。

   jsong.gif

  欧元/美元,小时图客观方向为转换,动能方向为下跌,日内等待出现有反复性的次来决定做空,性质为单日和近日均可。

  美元/瑞郎,小时图客观方向向上,动能方向向上,日内也是等待出现有反复性的次来决定做多,性质为单日。

  英镑/美元,继续保持宽幅震荡横盘,波浪节奏不清晰,交易思路与瑞郎一致,但风险相对更大一些。

  美元/日元,小时图客观方向为转换,短线上涨动能占有绝对优势,此次又刚好是从日线图横盘区间下沿附近向上开始回升,所以短线以做多美元/日元为指导思路,确认为涨势后可延长持仓时间。但这个节奏预判于欧洲货币一致,从日元近期的特征来看,这反而不太对劲,所以我今天不动日元,关注而已。

  澳元/美元,昨日冲高后也出现快速下跌,其分析思路与欧元一致,即看跌,交易上今天放弃。

  美元/加元,继续在小时图围绕6月1日以来的旗形通道上沿震荡,短线动能方向仍然向上,客观方向为横盘,这样从大级别来看支持做空美元/加元,从小时图来看却支持做多美元/加元,这个矛盾信号表明如果做多美元/加元面临阻力,如果做空美元/加元则逆短线动能,至少暂时不可做空。所以今天我放弃美元/加元的交易考虑。

  黄金,6月3日以来的下跌可以认为已经暂告一个段落,昨日的上涨看作反弹的开始,还不能认为是涨势的开始,今天在交易上我不会考虑黄金,昨日黄金也出现了动能的交替,从分析上也可以认为与欧元一致。

  整体来看,我今天的交易思考重点会集中到欧元/美元上,瑞郎和英镑作为备选考虑,其他品种放弃。
论坛的一份子,献力由我开始。
回复 点赞

使用道具 举报

willieloke楼主Lv.65 发表于 2009-6-25 17:10 | 查看全部
AndrewXu:美指不破80.50 引发大的下跌
2009年06月25日 14:20  AndrewXu查看评论

  昨天美国公布的经济数据好坏参半,一是5月份新屋销售月率下降0.6%,年化总数为34.2万户,预期为上升2.3%,年化总数为36万户;二是5月耐用品订单增长1.8%,预期为下降0.8%。由于市场聚焦美联储利率决议及货币政策声明,数据对汇价影响有限。美联储如市场预期一样,一致同意将利率保持在低水平0.0%-0.25%。美联储表示经济放缓速度已经减慢,债券购买规模没有改变,将继续评估购买债券的数量和期限,之前一些投资者猜测美联储可能扩大购买规模,所以此声明可能支持美元。美联储没有提及升息预期,而是表示仍将在较长时间内保持利率在低水平。这样较为温和的声明,并没有打压美元,反而支持美元一度走强。

  美元指数昨天在守稳了79.85一线的压力以后,出现了比较明显的反弹。目前依然运行在大形的对称三角形之中,特别是这几天预计将会有比较大的波动,投资者应该引起高度的关注,从四小时图来看,美元指数在80.50一线的攻防极为关键,如果无法有效突破的话,极有可能会引发大的下跌。

a1.jpg

  昨天欧元区公布的经济数据显示,意大利6月消费者信心指数自104.9改善至105.4,好于预期。欧元区4月经常帐未季调值录得-92亿欧元,赤字较前值更为恶化。数据公布后欧元自高位回落。经合组织昨天呼吁欧央行减息至零,但是一直以来,欧洲央行的行事风格决定了不大可能改变先前的政策,近来,欧央行官员也不断重申当前的利率水平合适,市场目前普遍预期欧央行在2010年前将利率继续维持在1.0%。

  欧元兑美元继前天大幅上涨后,昨天出现急速的调整,其整体趋势依然表现为高位震荡,未来数日走势极为关键,投资者应关注汇率在1.4050一线能否持续向上突破。从分时的走势来看,下方的关键支撑在1.3850一带的位置。上向关键阻力在1.4170。

a2.jpg

  英国央行行长金恩昨日表示,英镑疲软将有助缓解全球经济前景黯淡的冲击,要避免危机再次发生,就必须对国际货币体系进行改革。昨天受到基本面上公布的消息因素影响,英镑走势亦受到打压。

  英镑兑美元昨天尝试向上突破1.6600一线的压力位,这印证我们此前的判断,因为英镑兑美元正在试图突破自5月末以来所一直构造的大型上升三角形。预计未来几日走势依然将围绕在1.6400-1.6600的区间展开激烈的争夺。四小时图关键支撑位置位于在1.6420一线的位置。

a3.jpg

  日本昨日公布了5月出口年率下降40.9%,已是连续第8个月下跌。5月贸易盈余年率下降12.1%,高于预期。5月进口年率下降42.4%,跌幅较前值有所扩大。出口表现得十分疲软,进口也受到资本支持下降的冲击。日本央行官员中村昨日表示资本支出疲软可能限制经济复苏,因此日本经济依旧存在下行风险。然而由于日元受到日本数据及日本央行言论的打压对美元却未能大幅上涨。

  美元兑日元昨天守稳95一线的关键支撑后开始反弹,目前汇率推进到了96一线的位置。不过要注意的是在96-97的区间依然有强大的阻力。四小时图汇率显示目前上方的关键阻力在96.20一线的位置,突破将上行到96.50-96.80,否则仍然将重新归于下跌,下方关键支撑在95.20-95.00。

a4.jpg
  
论坛的一份子,献力由我开始。
回复 点赞

使用道具 举报

willieloke楼主Lv.65 发表于 2009-6-25 17:11 | 查看全部
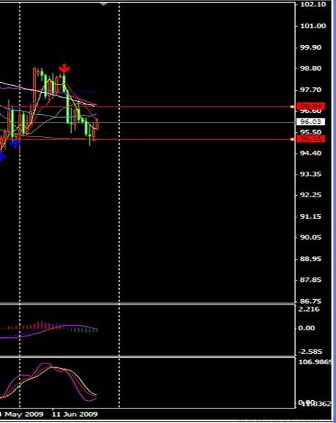
刘牧鑫:95.50-60多美/日 目标96.80
2009年06月25日 14:28  刘牧鑫查看评论

  1、黄金:昨日最低见922。30,最高到941。70;

  今日技术面分析料将继续上行,估计今日波动在925-945;下方支撑:925 928 930,上方阻力:940 945 950

  操作建议:逢低在928-30区间位置做多,925止损,目标945。

  如图:

mx1.jpg

  2、日圆:昨日最低见95。01,最高到96。04;

  今日技术面分析料将继续上行,估计今日波动在95。50-96。80,下方支撑:96。00 95。50,上方阻力:96。30 96。50 96。80

  操作建议:逢低在95。50-60位置做多,95。20止损,目标96。80。

  如图:

mx2.jpg
论坛的一份子,献力由我开始。
回复 点赞

使用道具 举报

willieloke楼主Lv.65 发表于 2009-6-25 17:12 | 查看全部
高应彪:欧元若能守稳短期多头目标指向1.4050-1.4100
2009年06月25日 14:55 高应彪查看评论

  2009年6月25星期四 汇市行情分析:今凌晨美联储公布利率决议维持不变,符合预期

  1. 美国公布的耐用品订单数据远好于预期,提升风险偏好情绪,支撑非美货币上涨

  2. 周四凌晨美国联邦储备委员会(Federal Reserve)结束为期两天的政策会议,公布维持利率水平不变,符合预期,会后申明中并未表示乐观情绪,虽然经济下滑速度有所放缓,但整体形势依然低迷,同时对于通膨预期亦有所下调,支撑美元反弹,打压非美货币和金价全面下滑。

  欧元兑美元:重点关注1.40,若能守稳短期多头目标指向1.4050-1.4100

  目前汇价处于1.4200—1.3800区间横向整理,5日均线金叉10日均线粘合走平,天图MACD指标超买区死叉开口向下,但有拐头向上迹象,绿柱缩短, RSI和KDJ指标超卖区拐头金叉向上,表明汇价短期仍反弹冲高受阻后进一步下行可能。4小时图目前汇价围绕布林中线和60MA整理,MACD死叉开口向下,绿柱缩短,随机指标死叉向下进入超卖区有拐头迹象,短期汇价整理反弹冲高受阻回落后进一步下行可能。短期汇价若能守稳1.3950支撑汇价将反弹上试1.40-1.4050及1.4100阻力可能,较强阻力在1.4150-1.4200-1.4230及1.4250

  若反弹不能突破守稳1.4100阻力将向下考验1.40关建支撑(守稳有反弹上试1.4150-80阻力),跌破将有下望进一步下考验1.3800关建支撑,1.3800颈线位支撑破将形成“头肩顶形”成立,下破之后空头目标指向1.3500-1.3420-1.3360支撑.短线逢高沽空的操作思路。

  短线建议:

  1.轻仓在1.4100附近逢高沽空,止损1.4130,目标1.40-1.3960-1.3800-1.3750(若有效下破1.3750继续加码沽空,止损1.3790,目标1.3500-1.3420-1.3360)

  2.若持稳1.3950建议轻仓做多,止损1.3920,目标1.4050-80

  英镑兑美元:重点关注1.6500关建阻力,若汇价不能突破守稳短期空头指向1.5800-1.5380

  目前汇价处于1.6200-1.6600区间呈三角形整理,继续在构筑双顶形态。MACD在零轴上方超买区严重背离死叉向下,绿柱增长,KDJ和RSI指标处于65附近粘合走平,表明汇价将横向整理反弹受阻后进一步回落下行可能。4小时图目前汇价处于1.6600-1.6200区间横向整理,布林轨走平,MACD在0柱上粘合金叉走平,但随机指标和RSI死叉向下,表明汇价短期内整理后反弹受阻回落下行可能。目前重点关注1.6500关建阻力,若守稳汇价将反弹上试1.6550-80较强阻力1.6600一线;

  若反弹不能守稳1.6500,汇价将再次向1.60支撑回撤,失守1.60支撑后进一步下行考验1.5800双顶颈线位支撑,若有效下破此支撑“双顶形态”成立后汇价转弱空头目标指向1.5500-1.5380之后1.5200-1.5100甚1.50一线支撑.

  操作建议:逢高沽空

  1.反弹后在1.6480-1.6500附近逢高沽空,止损1.6520目标1.6200-1.60-1.5960-50(若有效下1.5950继续加仓沽空,止损1.5980目标1.5880-50及1.5780-1.5650)

  澳元兑美元:重点关注0.8050关建阻力,若不能突破守稳短期空头目标指向0.7800- 0.7700-0.7600

  天图上,目前汇价处于0.7800-0.8100区间呈三角形整理,继续在构筑双顶形态形,近日汇价围绕5和10日均线及布林中线粘合走平,昨下探颈线0.7800支撑后反弹,若有效下破将打开进一步下行空间,日图随机指标和RSI处于超卖区拐头金叉向上,MACD高位严重背离死叉向下,绿柱增长,表明汇价短期内整理反弹受阻后进一步下行可能。4小时汇价站上布林中线和144MA及60MA, MACD金叉向上,绿柱缩短,KDJ处于超买区拐头向下,表明汇价短期整理反弹受阻后回落下行可能。目前短线反弹重点关注关键0. 8000阻力持稳多头目标将指向0.8030-50阻力,守稳0.8100汇价将进一上行挑战0.8150-0.8200及0.8250较强阻力。

  汇价上涨受阻0.8100后回落,下破失守0.7850破颈线支撑后,汇价将下行考验0.7800-0.7750-0.7700支撑,若有效下破0.7700支撑汇价将进一步下行考验0.7650支撑,此支撑跌破汇价将转弱进一步下行空头目标指向0.7600-0.7460-30-0.7340-0.7300-0.7250-0.70支撑。

  短线建议逢高沽空

  1.汇价反弹逢高在0.8050-80附近沽空,止损0.8120,目标0.7800-0.7750-0.7700-0.7560-0.7300-0.7250-0.7200-0.7100-0.7050-0.70

  黄金现货:

  昨金价出现震荡反弹。

  一 消息面:

  1.截至2009年6月24日全球最大的黄金基金SPDR与上一交易日及上周相比持平,为1132.15吨;其中全球7大黄金ETFs持仓总量为1392.545吨,与上一交易日相持平,美闻储议息,ETF基金以持仓观望为主。

  2. 周四凌晨美国联邦储备委员会(Federal Reserve)结束为期两天的政策会议,公布维持利率水平不变,符合预期,会后申明中并未表示乐观情绪,虽然经济下滑速度有所放缓,但整体形势依然低迷,同时对于通膨预期亦有所下调,支撑美元反弹,打压非美货币和金价全面下滑。

  二 行情分析预测:

  昨金价探低受布林下轨支撑后反弹站上60日均线、5日和10均线,MACD在0柱附近下行势头放缓,绿柱继续缩减,下行动能大幅减弱,表明短期回调结束,将反弹冲高考验950阻力回落可能,RSI和KDJ进入超卖区金叉向上,表明短期金价整理反弹受阻回落可能。4小时金价林线走平,金价在60MA附近争夺,有些强势整理迹象。MACD金叉开口向上上穿0柱附近,红柱增长,随机指标均金叉在65附近粘合走平,表明短线反弹冲高受阻回落可能。短期金价整理若持稳935支撑有望反弹上试940-945-948一线阻力,若守稳950金价有望进一步上行挑战960甚975力。若反弹不能守稳940将进一步下行回调考验930-928,若有效下破928,将进一步下行考验920-912-900-870甚865支撑支撑

  三 操作建议:

  1..建议在948-950附近沽空,止损952,目标940-935-930(若有效破928继续沽空,止损933,目标920-913-910-906-902-870-965)

  2.也可轻仓在933-935附近轻仓做多,止损9930,目标940-942-945

  3..中线;行情处于盘震荡整理没有明确的操作方,纸黄金、AUT+D和中线投资者和稳建投资观望为上
论坛的一份子,献力由我开始。
回复 点赞

使用道具 举报

回复

本版积分规则

关灯 在本版发帖
扫一扫添加微信客服
QQ客服返回顶部
快速回复 返回顶部 返回列表