1234567
返回列表 发布新帖

其实很难过,请教高手一个问题

评论67

波段操作者Lv.8 发表于 2010-8-4 19:26 | 查看全部
https://www.y2cn.com
能否走底,看今明两晚
做安全的交易
回复 点赞

使用道具 举报

JimmyLiu楼主Lv.2 发表于 2010-8-4 19:32 | 查看全部
新米~~~
回复 点赞

使用道具 举报

波段操作者Lv.8 发表于 2010-8-4 20:06 | 查看全部
就这两天
做安全的交易
回复 点赞

使用道具 举报

kanforexLv.2 发表于 2010-8-4 20:13 | 查看全部
破前低 84.8 较有反弹可能
回复 点赞

使用道具 举报

JimmyLiu楼主Lv.2 发表于 2010-8-4 20:30 | 查看全部
破前低 84.8 较有反弹可能
kanforex 发表于 2010-8-4 20:13



    意思是84.8反弹以后,还要跌的?
底大概是多少?
新米~~~
回复 点赞

使用道具 举报

iceboyLv.3 发表于 2010-8-4 21:23 | 查看全部
本帖最后由 iceboy 于 2010-8-4 21:25 编辑

我觉的这波能看到84.5
不过周K线,已经背离了, 反弹会有的,耐心等待

ps:我不是高手
成势而入,乘势而行
回复 点赞

使用道具 举报

kanforexLv.2 发表于 2010-8-5 10:33 | 查看全部
意思是84.8反弹以后,还要跌的?
底大概是多少?
JimmyLiu 发表于 2010-8-4 20:30



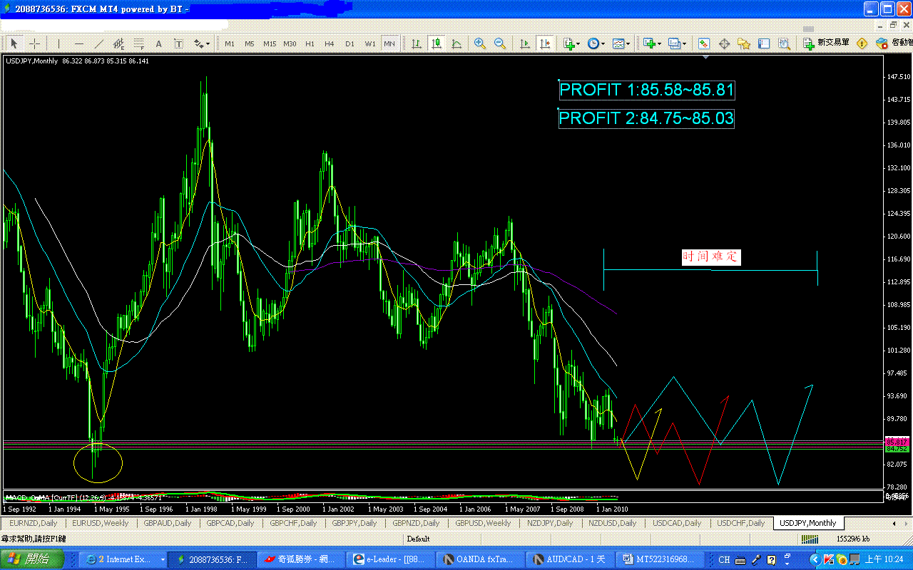
    以浪潮言 较大反弹(底)是破 79.75
但时间似乎不易掌握(看月图)
建议随盘随势作
ujm.GIF
回复 点赞

使用道具 举报

JimmyLiu楼主Lv.2 发表于 2010-8-8 14:55 | 查看全部
以浪潮言 较大反弹(底)是破 79.75
但时间似乎不易掌握(看月图)
建议随盘随势作
kanforex 发表于 2010-8-5 10:33



    呵呵,忍痛砍掉了。没的等了,既然都是看跌,那就不等了,顺势么,谢谢你给我的分析哦
新米~~~
回复 点赞

使用道具 举报

回复

本版积分规则

关灯 在本版发帖
扫一扫添加微信客服
QQ客服返回顶部
快速回复 返回顶部 返回列表