设为首页
收藏本站
商务合作联系微信/QQ:771081939
金股汇论坛
Portal
喊单
Group
广播
Follow
视频
动态
Space
新闻
报价
量化交易
排行榜
Ranklist
登录
注册审核通过,发送账户名称给版主,请加版主微信:1044631611
金股汇论坛(Y2论坛)
»
导航
›
外汇走势分析,外汇行情咨询与讨论
›
黄金外汇论坛
›
继续裸奔,接上次,金额是681美金
1
2
3
4
5
6
7
8
9
10
... 15
/ 15 页
下一页
返回列表
发布新帖
继续裸奔,接上次,金额是681美金
电梯直达
评论
146
kingbear
Lv.64
发表于 2005-6-13 22:18
|
查看全部
原帖由
doglas
于 2005-6-12 18:30 发表
我不明白你的意思!!!
我的理解供参考。但不知道别人是什么意思。
你既然宣布是裸奔,就不必遮掩。比如,这次,你做了64小手,却只给出了22小手的记录。再有,我看到你有2次追加这个账户的资金,你也未加说明,不知你追加了几次。我认为补充的资金不能作为盈利来看待,可以作为本金看待。可能别人也有这方面的误解。
当然,我依然支持你用自己的方法盈利,毫无疑问,谁赚钱,谁就是老大。
祝交易顺利
交易事典:勿期、勿贪、勿恐,顺市、轻仓、止损。
火爆!鲨版来了
回复
点赞
使用道具
举报
显身卡
doglas
楼主
Lv.3
发表于 2005-6-14 08:35
|
查看全部
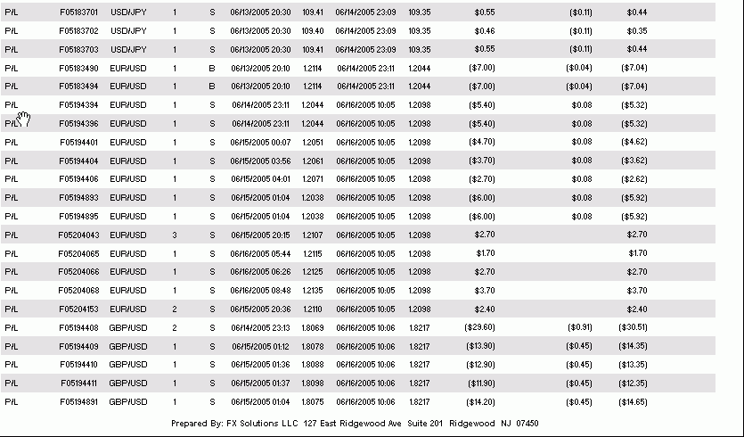
可能是截图的原因,没有公布完全,我只是截图了一部分,可以多贴几张图表的
回复
点赞
使用道具
举报
显身卡
doglas
楼主
Lv.3
发表于 2005-6-14 08:37
|
查看全部
欢迎对我的账号有疑问的,提出置疑
回复
点赞
使用道具
举报
显身卡
周正
Lv.2
发表于 2005-6-14 10:37
|
查看全部
实事求是些,一定要如实说明本金多少,利润多少,不要和稀泥,夸大事实
回复
点赞
使用道具
举报
显身卡
paoti
Lv.3
发表于 2005-6-15 03:39
|
查看全部
现在多少了?
回复
点赞
使用道具
举报
显身卡
doglas
楼主
Lv.3
发表于 2005-6-16 12:56
|
查看全部
基本面:昨天的反弹行情在今天早盘就消失了,欧洲今天开会研究欧盟的预算问题,市场关注欧盟宪法和预算的通过情况,估计是个争吵的大会,各方的利益都很难协调,市场目前的焦点转向了欧盟的会议情况,对于美元没有什么好说的,加息的是确定的,在加息前欧元都是受到压力的。
技术面:昨天的反弹疏解了非美反弹的压力,市场走势比较混乱,昨天我们看到数据出来后的市场,上蹿下跳,说明了市场对后面的看法产生了分歧,一部分认为市场要面临调整和反弹行情,而另外的这认为行情将继续下跌。不过大家认同的就是非美还没有到位,美元依然强势中。
本周五市场可能考验欧元1.2 和英镑的1.8大关的防守情况
回复
点赞
使用道具
举报
显身卡
doglas
楼主
Lv.3
发表于 2005-6-17 13:49
|
查看全部
最近战况总结
出调获利的筹码,总资金上升到1100附近,但是又有重仓的原因,和自己推形势的错误的估计,造成了比较大的损失,可以说是操作以来最大的损失,对于方向我将重新评估,同时开始控制自己的下单手法,提款500美金作为后备金,将资金回顾到460附近的水平,重新开始新的操作!!
回复
点赞
使用道具
举报
显身卡
doglas
楼主
Lv.3
发表于 2005-6-17 13:50
|
查看全部
1
1
回复
点赞
使用道具
举报
显身卡
doglas
楼主
Lv.3
发表于 2005-6-17 13:50
|
查看全部
1
1
回复
点赞
使用道具
举报
显身卡
doglas
楼主
Lv.3
发表于 2005-6-17 13:51
|
查看全部
1
1
回复
点赞
使用道具
举报
显身卡
1
2
3
4
5
6
7
8
9
10
... 15
/ 15 页
下一页
返回列表
发布新帖
回复
高级模式
B
Color
Image
Link
Quote
Code
Smilies
您需要登录后才可以回帖
登录
|
注册审核通过,发送账户名称给版主,请加版主微信:1044631611
本版积分规则
发表回复
回帖并转播
回帖后跳转到最后一页
doglas
楼主
+ 关注
发消息
请教各位老大,那个外汇公司的利息比较高
2007-01-03
10-21语音汇评
2005-10-21
10-20语音汇评
2005-10-20
10-20语音汇评
2005-10-20
7-28-7 天行健看盘早记
2005-07-28
查看更多
图文热点
百度胖老师吧上海市公安局轨道交通分局石宇
352 人气
#黄金外汇论坛
2026.5.7 图文交易计划:测试关键支撑 关注
195 人气
#黄金外汇论坛
🌏【ax0t01】勐拉新世界直属负责人- 手机版
316 人气
#黄金外汇论坛
【ax0t01】勐拉新世界公司会员注册官网申请
286 人气
#黄金外汇论坛
上一主题
下一主题
浏览过的版块
欧元 & 瑞郎
现场直播室
红 茶 馆
黄金 白银
有问必答
关灯
在本版发帖
扫一扫添加微信客服
QQ客服
返回顶部
快速回复
返回顶部
返回列表