设为首页
收藏本站
商务合作联系微信/QQ:771081939
金股汇论坛
Portal
喊单
Group
广播
Follow
视频
动态
Space
新闻
报价
量化交易
排行榜
Ranklist
登录
注册审核通过,发送账户名称给版主,请加版主微信:1044631611
金股汇论坛(Y2论坛)
»
导航
›
外汇走势分析,外汇行情咨询与讨论
›
黄金外汇论坛
›
良子每日外汇分析4.2
1
2
3
4
5
6
7
/ 7 页
下一页
返回列表
发布新帖
良子每日外汇分析4.2
电梯直达
评论
66
1245670
Lv.3
发表于 2009-4-2 21:41
|
查看全部
过了35就要去36了吧,
小陆?
骑驴看唱本,走着瞧。
火爆!鲨版来了
回复
点赞
使用道具
举报
显身卡
良子
楼主
Lv.8
发表于 2009-4-2 21:46
|
查看全部
51#
1245670
欧元降息25点``在我看来`他埋下了一个定时炸弹~~~~~~~~~~特里谢嘴硬``没办法```只有让时间证明``欧元区经济是多少的烂````````````````
知之匪艰,行之惟艰。知行合一
回复
点赞
使用道具
举报
显身卡
1245670
Lv.3
发表于 2009-4-2 21:51
|
查看全部
良子师傅辛苦了。
感觉特里写每次讲话都像在讲暗语,鬼听不懂它要说什么。
骑驴看唱本,走着瞧。
回复
点赞
使用道具
举报
显身卡
GuiGui0858
Lv.3
发表于 2009-4-2 21:51
|
查看全部
52#
良子
严重支持
回复
点赞
使用道具
举报
显身卡
良子
楼主
Lv.8
发表于 2009-4-2 22:02
|
查看全部
现在手里有1.2450多美加``
希望这一单间让我挣一把`
知之匪艰,行之惟艰。知行合一
回复
点赞
使用道具
举报
显身卡
neobaby
Lv.8
发表于 2009-4-2 22:03
|
查看全部
老师来了哈 老师好
那老头说话向来没谱的 有一句没一句的 上下扫损很正常
今天一点都没捞到 遗憾之余也庆幸没亏钱
评分
1
查看全部评分
良子
没有再坏了
回复
点赞
使用道具
举报
显身卡
良子
楼主
Lv.8
发表于 2009-4-2 22:04
|
查看全部
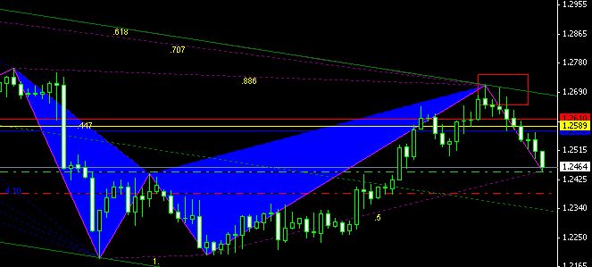
美加4小时图``
知之匪艰,行之惟艰。知行合一
回复
点赞
使用道具
举报
显身卡
良子
楼主
Lv.8
发表于 2009-4-2 22:09
|
查看全部
轻仓多上美瑞`````````玩几把短的````````
你们就不要跟了`
知之匪艰,行之惟艰。知行合一
回复
点赞
使用道具
举报
显身卡
1245670
Lv.3
发表于 2009-4-2 22:16
|
查看全部
我做不了,
我的平台除了欧美/镑美/美日,
剩下的尽是些日叉货币对,
天知道他们怎么走。
骑驴看唱本,走着瞧。
回复
点赞
使用道具
举报
显身卡
neobaby
Lv.8
发表于 2009-4-2 22:17
|
查看全部
哈哈 老师眼馋我们
没有再坏了
回复
点赞
使用道具
举报
显身卡
1
2
3
4
5
6
7
/ 7 页
下一页
返回列表
发布新帖
回复
高级模式
B
Color
Image
Link
Quote
Code
Smilies
您需要登录后才可以回帖
登录
|
注册审核通过,发送账户名称给版主,请加版主微信:1044631611
本版积分规则
发表回复
回帖并转播
回帖后跳转到最后一页
良子
楼主
+ 关注
发消息
心照不宣之英磅美指分析图。
2013-06-07
几家欢喜几家愁,欧洲危机,美国火鸡!
2010-11-25
请会编写MT4.0指标朋友帮忙!
2010-04-20
3.16欧元分析
2010-03-16
良子周一欧元英磅分析
2009-07-13
查看更多
图文热点
邵悦华-冲浪系统的优势
32 人气
#名师视频
邵悦华-两种常见的盈利模式
34 人气
#名师视频
高概率双系统课程设计理念
34 人气
#名师视频
高概率双系统课程学员互动训练
34 人气
#名师视频
上一主题
下一主题
浏览过的版块
历史记录
游枷利叶 专栏
欧元 & 瑞郎
有问必答
关灯
在本版发帖
扫一扫添加微信客服
QQ客服
返回顶部
快速回复
返回顶部
返回列表