返回列表 发布新帖

最新构思!!!绝对原创!!中线!!买进非美!!

评论84

yj18楼主Lv.10 发表于 2005-5-16 12:09 | 查看全部
https://www.y2cn.com
Originally posted by kan123 at 2005-5-16 12:04
老哥,你的图太乱了,能好点吗?
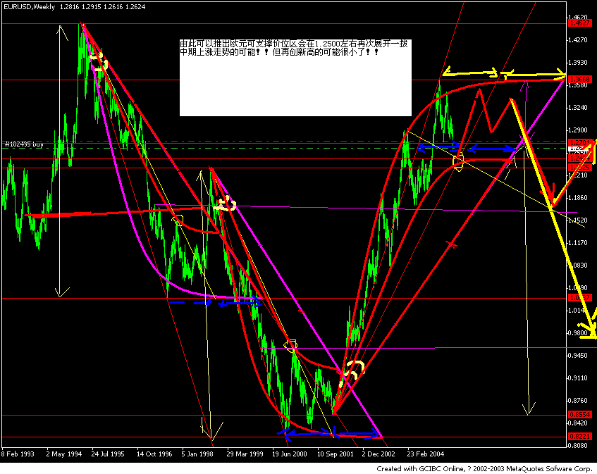
何解???
回复 点赞

使用道具 举报

kan123Lv.10 发表于 2005-5-16 12:13 | 查看全部
不失一个好看法!但是今晚收盘在1.8520楼上就有可能!
永远相信远方,永远相信梦想
回复 点赞

使用道具 举报

yj18楼主Lv.10 发表于 2005-5-16 12:29 | 查看全部
欧员只要不下破第二道内弧线!!(1.2400/1.24500附近区域)上涨是可以期待的!!
回复 点赞

使用道具 举报

yj18楼主Lv.10 发表于 2005-5-16 12:35 | 查看全部
Originally posted by yj18 at 2005-5-16 12:29
欧员只要不下破第二道内弧线!!(1.2400/1.24500附近区域)上涨是可以期待的!!

个人观点此区域可能是此拨欧元回落终点站!!
回复 点赞

使用道具 举报

yj18楼主Lv.10 发表于 2005-5-16 13:02 | 查看全部
更长的走势(个人猜想!!)
mou9823.GIF
回复 点赞

使用道具 举报

jeterlauLv.3 发表于 2005-5-16 13:10 | 查看全部
Originally posted by yj18 at 2005-5-16 13:02
更长的走势(个人猜想!!)

越来越完善了哦!
nothing 2 lose
回复 点赞

使用道具 举报

yelingLv.8 发表于 2005-5-16 22:45 | 查看全部
Originally posted by yj18 at 2005-5-16 13:02
更长的走势(个人猜想!!)

有创意!不错希望你成功!

[ 本贴由 yeling 在 2005-5-16 22:52 最后修改 ]
回复 点赞

使用道具 举报

Lv.2 发表于 2005-5-17 00:46 | 查看全部
不敢苟同楼主的观点!
1、EUR/USD 已经跌穿了长期上升趋势线+60日均线反压
2、1.2723区域的水平支持线已被跌穿
3、月线的macd之osc顶背离

结论:1、跌穿上升趋势线后,会有短线的反弹(数天~几个礼拜)
      2、但是操作策略应该是反弹后,以沽空eur为趋势方向!
      3、周线之60周均线被跌穿可确认eur长期走势转空!
希望大家多多沟通!
回复 点赞

使用道具 举报

yj18楼主Lv.10 发表于 2005-5-17 03:43 | 查看全部
Originally posted by at 2005-5-17 00:46
不敢苟同楼主的观点!
1、EUR/USD 已经跌穿了长期上升趋势线+60日均线反压
2、1.2723区域的水平支持线已被跌穿
3、月线的macd之osc顶背离

结论:1、跌穿上升趋势线后,会有短线的反弹(数天~几个礼拜)
   ...

那几天至几周的运行周期阁下认为是啥周期呢?/你的中期又如何确定呢??几周的反弹不可以是中期??你应看到我所表达的意思上行到1.3200/1.3400附近还会继续下跌吗??也明确指出不会再创新高哦!!一个上涨了5000余点行情的头部不是一下就可以做出来的!!不符合事物运行规律!!还有其他的各方面我就不阐述了!!不过欢迎你的讨论!最终的结果只有让市场验证!!

[ 本贴由 yj18 在 2005-5-17 03:52 最后修改 ]
回复 点赞

使用道具 举报

MoneyFoxLv.8 发表于 2005-5-17 05:24 | 查看全部
逢低买入非美。而做空就太危险了。
回复 点赞

使用道具 举报

回复

本版积分规则

关灯 在本版发帖
扫一扫添加微信客服
QQ客服返回顶部
快速回复 返回顶部 返回列表