返回列表 发布新帖

最新构思!!!绝对原创!!中线!!买进非美!!

评论84

yj18楼主Lv.10 发表于 2005-5-14 22:03 | 查看全部
https://www.y2cn.com
顺便发个美指图!!
mm8.GIF
回复 点赞

使用道具 举报

srb0664Lv.2 发表于 2005-5-15 13:28 | 查看全部
不要主观臆测,贴着市场走
回复 点赞

使用道具 举报

雨过天晴Lv.3 发表于 2005-5-15 13:56 | 查看全部
谢谢楼主学习了
回复 点赞

使用道具 举报

vincent3568Lv.2 发表于 2005-5-15 14:59 | 查看全部
你怎么不画一下CHF,CAD的图,,,说不定有意外收获窝,,呵
回复 点赞

使用道具 举报

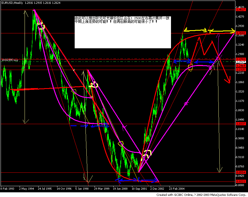
yj18楼主Lv.10 发表于 2005-5-15 23:50 | 查看全部
原创另一创作欧元图供汇友们分享!!!
ouo2.GIF
回复 点赞

使用道具 举报

jeterlauLv.3 发表于 2005-5-16 10:32 | 查看全部
Originally posted by yj18 at 2005-5-15 23:50
原创另一创作欧元图供汇友们分享!!!

我眼睛都花了……
nothing 2 lose
回复 点赞

使用道具 举报

yj18楼主Lv.10 发表于 2005-5-16 11:05 | 查看全部
Originally posted by jeterlau at 2005-5-16 10:32

我眼睛都花了……

是啊!!如果能认真观察!1会有收获哦!!
回复 点赞

使用道具 举报

yj18楼主Lv.10 发表于 2005-5-16 11:12 | 查看全部
再次探讨抛物线!!
mou982.GIF
回复 点赞

使用道具 举报

jeterlauLv.3 发表于 2005-5-16 11:48 | 查看全部
Originally posted by yj18 at 2005-5-16 11:12
再次探讨抛物线!!

顶一下豹哥!
nothing 2 lose
回复 点赞

使用道具 举报

kan123Lv.10 发表于 2005-5-16 12:04 | 查看全部
老哥,你的图太乱了,能好点吗?
永远相信远方,永远相信梦想
回复 点赞

使用道具 举报

回复

本版积分规则

关灯 在本版发帖
扫一扫添加微信客服
QQ客服返回顶部
快速回复 返回顶部 返回列表