返回列表 发布新帖

最新构思!!!绝对原创!!中线!!买进非美!!

评论84

ruilangLv.2 发表于 2005-5-13 23:49 | 查看全部
https://www.y2cn.com
谢谢两位,学习新知识
回复 点赞

使用道具 举报

jeterlauLv.3 发表于 2005-5-13 23:55 | 查看全部
Originally posted by ruilang at 2005-5-13 23:49
谢谢两位,学习新知识

不敢不敢,你看,图都是豹哥贴的,我也是学习,顺便灌水,充实一下我方的信心!
nothing 2 lose
回复 点赞

使用道具 举报

yj18楼主Lv.10 发表于 2005-5-14 00:13 | 查看全部
Originally posted by jeterlau at 2005-5-13 23:48
你的意思是非美会走出不同的路线?现布林带下轨已到

[ 本贴由 jeterlau 在 2005-5-13 23:50 最后修改 ]

按上面的图美指如到87.00附近!!英镑应还会有下行空间!!这个问题我也在考虑中!!
回复 点赞

使用道具 举报

jeterlauLv.3 发表于 2005-5-14 00:15 | 查看全部
Originally posted by yj18 at 2005-5-14 00:13

按上面的图美指如到87.00附近!!英镑应还会有下行空间!!这个问题我也在考虑中!!

我已套了GBP……
nothing 2 lose
回复 点赞

使用道具 举报

yj18楼主Lv.10 发表于 2005-5-14 00:56 | 查看全部
Originally posted by jeterlau at 2005-5-14 00:15

我已套了GBP……

只是要些输时间!!我的错!!没有坚持最初的观点!!!......
回复 点赞

使用道具 举报

jeterlauLv.3 发表于 2005-5-14 01:03 | 查看全部
Originally posted by yj18 at 2005-5-14 00:56

只是要些输时间!!我的错!!没有坚持最初的观点!!!......

我的GBP损了
nothing 2 lose
回复 点赞

使用道具 举报

jeterlauLv.3 发表于 2005-5-14 01:04 | 查看全部
现在持仓EUR和JPY,看到CAD似乎有好的机会哦
nothing 2 lose
回复 点赞

使用道具 举报

yj18楼主Lv.10 发表于 2005-5-14 01:07 | 查看全部
Originally posted by jeterlau at 2005-5-14 01:04
现在持仓EUR和JPY,看到CAD似乎有好的机会哦

加元有到1.2710附近的动能!!
回复 点赞

使用道具 举报

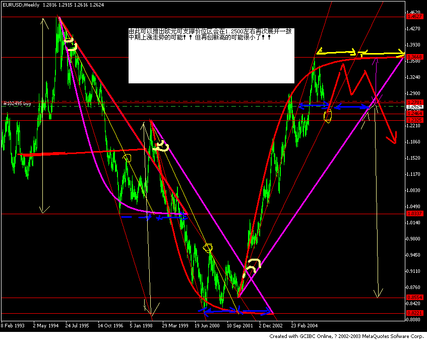
yj18楼主Lv.10 发表于 2005-5-14 02:24 | 查看全部
经过推敲把上图完善!!

[ 本贴由 yj18 在 2005-5-14 02:29 最后修改 ]

[ 本贴由 yj18 在 2005-5-14 02:31 最后修改 ]

[ 本贴由 yj18 在 2005-5-14 02:31 最后修改 ]
mou98.GIF
回复 点赞

使用道具 举报

jeterlauLv.3 发表于 2005-5-14 09:41 | 查看全部
Originally posted by yj18 at 2005-5-14 02:24
经过推敲把上图完善!!

[ 本贴由 yj18 在 2005-5-14 02:29 最后修改 ]

[ 本贴由 yj18 在 2005-5-14 02:31 最后修改 ]

[ 本贴由 yj18 在 2005-5-14 02:31 最后修改 ]

半蒙半醒,还是顶一下豹哥先……
早安!
nothing 2 lose
回复 点赞

使用道具 举报

回复

本版积分规则

关灯 在本版发帖
扫一扫添加微信客服
QQ客服返回顶部
快速回复 返回顶部 返回列表